Here we are going to deal with some optimisation problems.

(a) In section 4.2 while dealing with average pro­duct and marginal product, we have shown graph­ically that when APL attains maximum, APL = MPL.

This can be shown by calculus. We define the production function as:

The sufficient condition for maximisation holds. Therefore, when APL is maximum, APL = MPL.

(b) Given the production function Q = 100(0.2 K0 5 + 0.8L0.5)2, and prices of per unit capital and labour are 10 rupees and 4 rupees respectively. If the manager is further given a sum of Rs. 4,100 as expenditure for production, then find the optimal values of capital and labour which will maximise production.

The problem is to maximise Q subject to a given level of cost (Rs. 4,100).

The cost equation:

The partial derivatives are set equal to zero, which is the first order condition.

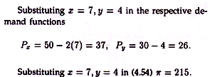
(c) A monopolist sells to products x and y, for which the demand is

ADVERTISEMENTS:

x = 25 — 0.5Px, y = 30 = 30 – Py,

and the combined cost function is

c = x2 + 2xy + y2 + 20.

Find (a) the profit maximising level of output for each product (b) the profit maximising price for each product and (c) the maximum profit

clip_image045_thumb2_thumb