The increased production of export good requires the diversion of productive resources from other sectors to the export sector. The amount of utility lost or sacrificed per unit of resources employed in the production of export good constitutes the real cost of producing exports. Whether a country gains from trade or not, can be truly measured if the real costs are taken into consideration. Jacob Viner involved real costs in measuring the terms of trade through his concept of Real Terms of Trade.

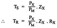
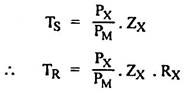
The real cost terms of trade can be measured by multiplying the single factoral terms of trade by the index of the amount of disutility (pain, sacrifice, irksomeness etc.,) per unit of the resources employed in producing export goods.

The real cost terms of trade can be expressed as:

Tr = Ts . Rx

ADVERTISEMENTS:

Where TR = real cost terms of trade and RX = index of the amount of disutility suffered per unit of resources employed in producing exports goods.

If the commodity terms of trade (TC = PX/PM) have got worsened, the deterioration in TC may be offset by the corresponding increase in the export productivity index (ZX) and the single factoral terms of trade may remain stable, provided there is no change in the real cost (RX) of producing export commodities. Given the single factoral terms of trade, the increase in RX will cause the worsening of the real cost terms of trade (TR) and vice-versa.

Criticisms:

ADVERTISEMENTS:

Although the real cost terms of trade can be treated as a better measure of real economic welfare or gains from trade, it has some weaknesses because of which it is subjected to criticism.

The main grounds on which it is criticised are as follows:

(i) Subjective Concept:

The disutility or real cost involved in the additional production of export goods is a highly subjective concept which cannot be measured in precise quantitative terms.

ADVERTISEMENTS:

(ii) Neglect of Real Cost of Diverting Domestically Consumed Goods to Exports:

This concept gives prominence to real cost involved in the production of export goods but it fails to take into account the real cost involved in diverting the goods being used for domestic consumption to supplement exports for paying the imports.

(iii) Neglect of Real Cost of Producing Import- Substitutes:

This concept neglects the real cost involved in the production of import-substitutes within the country because the domestic production of import-substitutes can have significant effect on quantity imported (QM) as well as the price of imported goods (PM).

With the object of removing this deficiency, Jacob Viner introduced still another concept of utility terms of trade.