After reading this article you will learn about the input-output analysis and its importance in ecological study.

Input-output analysis is a technique that was invented by Prof. Wassily Leontief in the year 1951. This technique deals with the type of problems, one of which may be defined in his own following words:

“What should be the level of output of each industry with the existing technology so that the total output goal for the consumer and industrial use of its product gets fully satisfied; or alternatively what level of output of each producing sector in an economy can bring about equilibrium for its product in the economy as a whole.”

The basic idea is simple to understand; since inputs of one industry are the outputs of another industry and vice versa ultimately their mutual relationship must lead to equilibrium between supply and demand in the economy consisting of n industries for example the output of industry 1 is needed as an input in many other industries and perhaps for itself. Naturally therefore the total output of industry 1 must take account of the inputs needed by the rest of the economy.

ADVERTISEMENTS:

Exactly in the same way, since the output of industry n enters into other industries as their inputs, we account for them similarly. The total output of the nth industry must be one that is consistent with all input requirements so as to avoid any bottlenecks anywhere in the economy.

Goods may either be for self consumption, as intermediate consumption, or serve as a final good for consumers. E.g. agriculture = as an input in food sector/processing sector, or as a final consumption commodity.

Assumption:

1. Each industry produces only one homogenous output, and no two products are produced jointly.

ADVERTISEMENTS:

2. Each producing sector satisfies the properties of linear homogenous production function.

3. Each industry uses a fixed set of inputs (i.e. fixed proportion).

Sample Input Output Transaction Table

In the above matrix, we can see a sample of what Leontief proposes in his input-output analysis.

ADVERTISEMENTS:

This can be further pro-rated to a matrix on the Euclidean plane to an n-tuple model as follows:

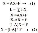
Technology Coefficients:

From the assumption of fixed input requirements, we see that in order to produce one unit of the jth commodity, the input used of the jth commodity must be a fixed amount which we denote by aij, the technology coefficient.

Input Output Transaction Table

Extending this to an n-tuple model, in matrix notation, we can write the same as:

This result (2) is known as the Leontief identity, and is the basis of input-output analysis.

Ecology and Input-Output Analysis:

ADVERTISEMENTS:

Environmental variables are usually considered as externalities. However, to include them as actual components of equilibrium control, we use input-output tables (by adding extra rows and columns to account for pollution costs and effects) to determine the extent to which pollution control will affect final demand and supply, and more importantly, how much the economy will tolerate pollution. The rest will get clearer as you read on.

Externalities:

Externalities are common in virtually every area of economic activity. They are defined as third party (or spill-over) effects arising from the production and/or consumption of goods and services for which no appropriate compensation is paid.

Externalities can cause market failure if the price mechanism does not take into account the full social costs and social benefits of production and consumption. The study of externalities by economists has become extensive in recent years, not least because of concerns about the link between the economy and the environment.

ADVERTISEMENTS:

Private and Social Costs:

Externalities create a divergence between the private and social costs of production. Social cost includes all the costs of production of the output of a particular good or service. We include the third party (external) costs arising, for example, from pollution of the atmosphere.

Social Cost = Private Cost + Externality:

For example: A chemical factory emits wastage as a by-product into nearby rivers and into the atmosphere. This creates negative externalities which impose higher social costs on other firms and consumers, e.g., clean-up costs and health costs. Another example of higher social costs comes from the problems caused by traffic congestion in towns, cities and on major roads and motor ways.

ADVERTISEMENTS:

It is important to note though that the manufacture, purchase and use of private cars can also generate external benefits to society. This is why cost-benefit analysis can be useful in measuring and putting some monetary value on both the social costs and benefits of production.

Market Failures and Externalities:

When negative production externalities exist, marginal social cost > private marginal cost. This is shown in the diagram below where the marginal social cost of production exceeds the private costs faced only by the producer/supplier of the product. In our example a supplier of fertilizer to the agricultural industry creates some external costs to the environment arising from their production process.

The Social and Private Costs of Production

Why do Externalities Lead to Market Failure?

If we assume that the producer is interested in maximising profits – then they will only take into account the private costs and private benefits arising from their supply of the product. We can see from the diagram below that the profit-maximising level of output is at Q1. However the socially efficient level of production would consider the external costs too. The social optimum output level is lower at Q2.

ADVERTISEMENTS:

This leads to the private optimum output being greater than the social optimum level of production. The producer creating the externality does not take the effects of externalities into their own calculations. We assume that producers are only concerned with their own self-interest.

In the diagram above, the private optimum output is when where private marginal benefit = private marginal cost, giving an output of Q1. For society as a whole though the social optimum is where social marginal benefit = social marginal cost at output Q2. The failure to take into account the negative externality effects is an example of market failure.

Market Failure Arising from Negative Externalities

Negative Consumption Externalities:

Consumers can create externalities when they purchase and consume goods and services.

1. Pollution from cars and motorbikes

ADVERTISEMENTS:

2. Litter on streets and in public places

3. Noise pollution from using car stereos or ghetto-blasters

4. Negative externalities created by smoking and alcohol abuse

5. Externalities created through the mis-treatment of animals

6. Vandalism of public property

7. Negative externalities arising from crime

ADVERTISEMENTS:

In these situations the marginal social benefit of consumption will be less than the marginal private benefit of consumption, (i.e. SMB < PMB).This leads to the good or service being over-consumed relative to the social optimum. Without government intervention the good or service will be under-priced and the negative externalities will not be taken into account. Again there will be a deadweight loss of economic welfare.

Negative Consumption Externalities

In the example shown in the chart above we illustrate the potentially negative effects of people consuming cigarettes on other consumers. The disutility created leads to a reduction in the overall social benefit of consumption.

If the cigarette consumer only considers their own private costs and benefits, then there will be over- consumption of the product. Ideally, the socially efficient level of cigarette consumption will be lower (Q2). The issue is really which policies/strategies are most appropriate in reducing the total level of cigarette consumption.

Positive Externalities:

Positive externalities exist when the marginal social benefit of production and or consumption exceeds the marginal private benefit, i.e., production and/or consumption generate external benefits that may go under-valued by the market.

ADVERTISEMENTS:

There are plenty of examples of economic activities that can generate positive externalities:

i. Industrial training by firms:

This can reduce the costs faced by other firms and has important effects on labour productivity. A faster growth of productivity allows more output to be produced from a given amount of resources and helps improve living standards throughout the economy.

ii. Research into new technologies:

This can then be disseminated for use by other producers. These technology spill-over effects help to reduce the costs of other producers and cost savings might be passed onto consumers through lower prices

iii. Education:

A well-educated labour force can increase efficiency and produce other important social benefits. Increasingly policy-makers are coming to realise the increased returns that might be exploited from investment in human capital at all ages.

iv. Health Provision:

Improved health provision and health care reduces absenteeism and creates a better quality of life and higher living standards.

Positive Externalities and Market Failure:

Why do positive externalities lead to a failure of the normal free- market mechanism?

Positive Externalities and Market Failure

Where substantial positive externalities exist, the good or service may be under consumed or under provided since the free market may fail to take into account their effects. This is because the marginal social benefits of consuming the good are greater than the private marginal benefits. In the case of external benefits from production, the marginal social cost would be less than private marginal costs.

Consider the example of health care. Good quality health care brings positive spillover effects both for the recipient of the care but also their families and associates. A well functioning health care system also reduces the scale of absenteeism from work due to sickness and illness.

We see in the diagram above how the provision and consumption of health care services leads to an increase in social benefits and a reduction in social costs. As a society we should be encouraging people to increase their consumption of health care services.

Positive Externalities from Technological Spillovers:

In the diagram below we assume there has been a positive externality in production in the form of a technology spillover. The use of new technology has brought down costs to other producers – social cost lies below private cost and output of the product (i.e. a new robot or piece of software) should be encouraged towards output Qb rather than the private optimum Qa.

This might be achieved through the use of a producer subsidy that reduces the cost of production/consumption and encourages an expansion of supply in the market.

Positive Externalities from Technological Spillovers