In this article we will discuss about the quantity theory of money by Friedman.

Friedman in his essay, “The Quantity Theory of Money—A Restatement” published in 1956 beautifully restated the old quantity theory of money. In his restatement he says that “money does matter”. For a better understanding and appreciation of Friedman’s modern quantity theory, it is necessary to state the major assumptions and beliefs of Friedman.

First of all Friedman says that his quantity theory is a theory of demand for money and not a theory of output, income or prices.

Secondly, Friedman distinguishes between two types of demand for money. In the first type, money is demanded for transaction purposes. It serves as a medium of exchange. This view of money is the same as the old quantity theory. But in the second type, money is demanded because it is considered as an asset. Money is more basic than the medium of exchange. It is a temporary abode of purchasing power and hence an asset or a part of wealth. Friedman treats the demand for money as a part of the wealth theory.

ADVERTISEMENTS:

Thirdly, Friedman treats the demand for money just like the demand for any durable consumer good.

The demand for money depends on three factors:

(a) The total wealth to be held in various forms

(b) The price or return from these various assets and

ADVERTISEMENTS:

(c) Tastes and preferences of the asset holders.

Friedman considers five different forms in which wealth can be held, namely, money (M), bonds (B), equities (E), physical non-human goods (G) and human capital (H). In a broad sense, total wealth consists of all types of “income”. By “income” Friedman means “aggregate nominal permanent income” which is the average expected yield from wealth during its life time.

The wealth holders distribute their total wealth among its various forms so as to maximise utility from them. They distribute the assets in such a way that the rate at which they can substitute one form of wealth for another is equal to the rate at which they are willing to do.

Accordingly the cost of holding various assets except human capital can be measured by the rate of interest on various assets and the expected change in their prices. Thus Friedman says there are four factors which determine the demand for money. They are: price level, real income, rate of interest and rate of increase in the price level.

ADVERTISEMENTS:

The demand for money is unitarily elastic. The relationship between the demand for money and real income (output of goods and services) is also direct. But it is not proportional as in the case of price. Thus while changes in the price level cause direct and proportional changes in the demand for money, changes in real income create direct but more than proportional changes in the demand for money.

The rate of interest and the rate of increase in the price level constitute the cost of holding cash balances. If money is kept in the form of cash, it does not earn any income. But if the same money is lent out, it could earn some income in the form of interest to the owner.

The interest is the cost of holding cash. At higher interest rate the demand for money would be less. On the other hand, a lower rate of interest creates an increase in the demand for money. Thus there is an inverse relationship between the rate of interest and the demand for money.

The rate of increase in the price level also influences the demand for money. There is an inverse relationship between the rate of increase in the price level and the demand for money. When the price level increases at a high rate, the cost of holding money will increase.

The people would like to hold smaller cash balances. The demand for money will decline. On the other hand when the price level increases at a low rate, the cost of holding money will decline and the demand for money increases.

Fourthly, Friedman believes that each form of wealth has its own characteristics and a different yield or return. In a broad sense money includes currency, demand deposits and time deposits which yield interest. Money also yields real return in the form of convenience, security etc., to the holder which is measured in terms of price (P). When the price level falls, the rate of return on money is positive because the value of money increases. When the price level rises, the value of money falls and the rate of return is negative. Thus P is an important variable in the demand function of Friedman.

The rate of return on bonds, equities and physical assets consists of currently paid interest rate and changes in their prices. As far as human wealth is concerned it is very difficult to measure the conversion of human into non-human wealth due to institutional constraints. But there is some possibility of substituting human wealth for non-human wealth.

Freidman calls the ratio of non-human wealth to human wealth or ratio of wealth to income as W. According to Friedman, income elasticity of demand for money is greater than unity. Besides, there are certain variables like the tastes and preferences of the wealth holders which also affect the demand functions. These variables are represented by m.

Friedman’s Demand Function:

On the basis of the above assumptions and formulations, Friedman has derived a demand function for an individual wealth holder.

ADVERTISEMENTS:

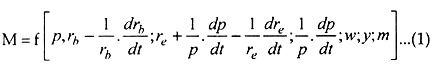
It may be symbolically expressed as

Where M is the total demand for money, P is the general price level,

rb is the market interest rate on bonds,

ADVERTISEMENTS:

re is the market interest rate on equities,

1/p. dp/dt is the nominal return from physical goods,

W is the ratio of non-human to human wealth,

Y is the money income available to the wealth holder,

ADVERTISEMENTS:

m is the variables affecting tastes and preferences on the wealth holders.

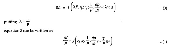
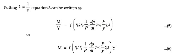
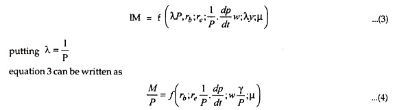
By assuming rb and re to be stable, Friedman replaces the variables representing the return on bonds and equities

in equation I by simply rb and re. As a result of this replacement, the demand function can be written as

Further Friedman says that when there are changes in price and money income, there will be a proportionate change in the demand for money. This means that equation 2 must be regarded as homogenous of the first degree in P and Y, so that equation 2 becomes as

ADVERTISEMENTS:

In this form, the equation 4 expresses the demand for real cash balances as a function of “real” variable.

In Friedman’s modern quantity theory of money, the supply of money is independent of demand for money. Due to the actions of the monetary authorities, the supply of money changes, whereas the demand for money remains more or less stable. It means that the amount of money which people want to have as cash or bank deposits is more or less fixed to their permanent income.

If the central bank purchases securities, people who sell securities to the central bank receive money and this leads to an increase in their cash holdings. The people will spend this excess money partly on consumer goods and partly by purchasing assets. This spending will reduce their cash balances and at the same time there is a rise in the national income.

On the other hand, when the central bank sells securities, the money holding of the people reduces, in relation to their permanent income. Therefore, they will try to increase their cash partly by reducing their consumption and partly by selling their assets. This will reduce national income. Thus in both cases the demand for money remains stable.

ADVERTISEMENTS:

If the demand for money is given, it is possible to predict the effects of changes in the supply of money on expenditure and income. If the economy is at less than full employment level, an increase in the supply of money raises the expenditure, output and employment levels. But this is possible only in the short run.

Friedman’s quantity theory of money can be explained diagrammatically in the following figure (fig.10):

Income Level and Demand and Supply of Money

In the figure while the X-axis shows the demand and supply of money, Y-axis measures the income level. MD is the demand curve for money which changes along with income. MS is the supply curve for money. These two curves intersect at point E and the equilibrium income level OY is determined. If there is an increase in money supply, the supply curve shifts to M1S1. At this level the supply is greater than demand and a new equilibrium is established at E1. At the new equilibrium level the income increases to OY1.

Permanent Income Hypothesis:

Friedman gave the Permanent Income Hypothesis as an explanation of the short and long period consumption function. According to him, there is no tendency for the proportion of income saved to increase at higher income levels. He rejects the use of “current income” as the determinant of consumption expenditure. He divides consumption and income into “permanent” and “transitory” components, so that

Ym = Yp + Yt and

ADVERTISEMENTS:

Cm =Cp + Ct

where Y stands for income, C stands for consumption and m,p and t stand for their measured , permanent and transitory components.

Permanent income is to be defined as the means of income which is regarded as permanent by the consumer. It depends on time-horizon and farsightedness. It includes non-human wealth like personal attributes of the earners. Y being the measured income or current income, it may be larger or smaller than his permanent income in any period.

The differences between measured and permanent income are due to the transitory component of income (Yt). The transitory income may rise or fall depending on cyclical variations. If the transitory income is positive, the measured income will be higher than the permanent income; if it is negative it will be lower than the permanent income. The transitory income can also be zero in which case measured income equals permanent income.

Permanent consumption is the amount planned to consume in a given period. Measured consumption is divided into permanent consumption (Cp) and transitory consumption (Ct). Measured consumption may be more than permanent consumption if the transitory consumption is positive. It will be less than permanent consumption if the transitory consumption is negative and it will be equal to permanent consumption if the transitory consumption is zero.

Permanent consumption is a multiple (K) of permanent income Yp

ADVERTISEMENTS:

Cp = KYp

and K = f(r,w,u)

Therefore Cp = K(r,w,u,)Yp

where K is the function of the rate of interest (r), the ratio of income to wealth (w), and the consumer’s propensity to consume (u). This equation tells us that in the long period consumption increases in proportion to change in Yp. Thus K is the permanent average propensity to consume. Friedman contended that the secular decline in (r) since 1920s has tended to raise the value of K. But there has been a long run decline in wealth (w) which tends to reduce the value of K.

Three factors have said to influence the propensity to consume.

Firstly, there has been a deep decline in farm population increasing consumption with urbanisation and ultimately increasing K.

Secondly, there has been a sharp decline in the size of the families leading to more saving and less consumption and reducing the value of K.

Thirdly, the large provision of social security reduced the need for keeping more savings. It has increased the propensity to consume resulting in a higher value of K. The cumulative effect of all these factors is to raise consumption in proportion to the change in the permanent income component.

The relationship between the permanent and transitory components of income and consumption are based on the following assumptions:

1. There is no correlation between transitory and permanent income.

2. There is no correlation between permanent and transitory consumption.

3. There is no correlation between transitory consumption and transitory income.

4. The differences in permanent income alone affect consumption.

The Permanent Income Hypothesis can be diagrammatically depicted Fig. 11:

Consumption and Income 

X axis measures income and Y axis consumption. CI is the long run consumption function and Cs is the short run consumption function. At OY0 income level Cs and CI coincide at E0. At this point changes in permanent income and measured income (i.e., current income) are identical. So are permanent and measured consumption as shown by OCo. If we move to the left of point E0 on the Cs curve at E3, the measured income declines to OY3 due to negative transitory income component.

As the permanent income OY4 is higher than the measured income OY3permanent consumption will remain at OC3 (= Y4 E4) and will also equal to measured consumption (Y3E3 = Y4E4). Thus when permanent income is less than one it is possible for measured consumption Y3E3 to be higher than measured income OY3 because of the stability of permanent income. This generally keeps the measured consumption static.

On the other hand a movement to the right of point E0 on the Cs Curve at E1, Shows the measured income to be OY1. Here the measured consumption is OC, (=Y1E1). But OC2 (=E2Y2) level of consumption can be maintained permanently at the permanent income level OY2. Thus Y1 Y2 is the positive transitory income component of measured income OY1, which is higher than the permanent income OY2.

The Permanent Income Hypothesis of Friedman is consistent with cross-section budget data. It suggests that current consumption or measured consumption will tend to be high during recession and low during boom period.

Criticism:

Friedman’s Permanent Income Hypothesis is criticised on the following grounds:

Firstly, Friedman’s assumption that there is no connection between transitory components of consumption and income is not real. This assumption says that when measured income increases or decreases it does not affect consumption but it does affect only savings. But this is very much contrary to the natural behaviour of the consumers.

A person who have windfall gain does not deposit the entire amount in the bank but enjoys a whole or part of it in current consumption. Similarly a person who has met with a loss would definitely reduce or postpone his consumption than rush to the bank to withdraw the amount to meet his requirements.

Secondly, Friedman’s hypothesis states that the APC of all families,whether rich or poor is the same in the long run. But this is not true. The consumption of low income families is higher relative to their incomes and the saving of high income families is higher relative to their incomes. Even among the persons with level of permanent income same saving and consumption differ.

Thirdly, the usage of terms like ‘permanent, ‘transitory’ and ‘measured’ have tended to affect the clarity of the theory. The concept of measured income creates confusion by mixing with permanent and transitory income on the one hand and permanent and transitory consumption on the other.

Fourthly, the distinction between human and non-human wealth is sadly missing in Friedman’s theory.

In-spite of all these weaknesses it can be fairly concluded with the words of Micheal Evans “that the evidence supports this theory”, and that Friedman’s formulation has reshaped and redirected much of the research on the consumption function.

Milton Freidman Hypothesis:

Milton Freidman and L.J. Savage in their well- known article put forward a hypothesis that explains why the same group of people buy insurance and also engage in gambling. In buying insurance they seek to avoid risk and in engaging gambling they take risk. This seemingly contradictory behaviour on the part of the people could not be explained with Bernoullian Hypothesis of diminishing marginal utility of money.

Freidman and Savage abandoned this hypothesis of diminishing marginal utility of money for all ranges of income and instead adopted another hypothesis. According to Freidman-Savage hypothesis, for most people, marginal utility of money income diminishes up to a certain level of money income, it increases from that level to a certain higher level of money income and then beyond that level it again diminishes.

With this hypothesis both types of behaviour of buying insurance to avoid risk and of indulging in gambling and thereby to take risks are explained. Freidman-Savage hypothesis is depicted in the Figure (Fig.12). The curve of marginal utility of money income has three segments over LM, (that is, up to income level OY1), marginal utility of money income diminishes, segment MN (that is, between income level Y1 and Y2) where marginal utility of money income rises and segment NH (that is, income higher than OY2) where marginal utility of money income again diminishes. Segment LM represents marginal utilities of money income at lower level, range MN represents marginal utilities of money income at middle range and segment NH represents marginal utilities of money income at higher level.

Marginal Utility of Money and Money Income

Suppose an individual has an income OA which lies in the first segment of diminishing marginal utility of income. Such an individual would be induced to buy insurance and thereby avoid risk, since the payment (insurance premium) is small as compared with the loss of utility he would suffer without insurance.

The loss of utility is very large for the marginal utility of money to the left of A is higher. With such an income individual will be unwilling to take risks in a gamble or risky investment, since the gain in utility from any income will be smaller than the loss of utility from it.

Now suppose the individual’s income is OB which lies in the middle income segment MN where the marginal utility of money income is increasing. With OB income, the individual will be willing to buy lottery tickets, indulge in gambling or undertake risky investment since the gain in utility from extra money will be much greater (marginal utility of money income is rising ) than the loss of utility from the small payment for a lottery ticket or from equal monetary loss in a gamble.

A person with an income beyond Y2 in the segment MH enjoys quite high income and therefore marginal utility of money to him is declining. As a result of this he would be unwilling to take risk either in a gamble or in undertaking risky investment except at very favourable odds.

Freidman-Savage think that the curve of marginal utility of money indicates the behaviour or attitude of people in different socio-economic groups. They of course admit that there are many differences between the persons within a same socio-economic group; some have great preference for gambling and others are unwilling to take any risk at all. Even then Freidman and Savage think the curve described the propensities of broad classes.

The middle group with increasing marginal utility of money is those, they argue, who are eager to take risks to improve themselves. The expectation of more money means much to this group of persons; if their efforts succeed, they will lift themselves up into the next socio-economic class. These persons want not just more consumer goods; they look up in the social scale. They want to rise, to change the pattern of their lives. No wonder that marginal utility of money increases for them.

According to Friedman, the Great Depression of 1930s should be called the ‘Great Contraction’. He has analysed the trend between 1928-1933 and explained that the Federal Reserve System bears the main responsibility for the Great Depression.

The sharp and unprecedented decline in the stock of money was a consequence of the monetary authority’s failure to provide the liquidity that would have enabled the banks which were failing to meet their obligation. Friedman has pointed out that perhaps the most remarkable feature of the record is the adaptability and flexibility that the private economy has so frequently shown under such extreme provocation.

Friedman along with A J. Schwartz has written a book entitled A Monetary History of the United States, 1867-1960. Here they have analysed the America’s economic history. In his another book titled. A Programme for Monetary Stability he points out that for effective and successful operation of a private market economy, a stable monetary framework is essential. Friedman is an uncompromising supporter of the free market mechanism. This world renowned economist has 23 books and 40 papers to his credit.