Individual Series:

Individual series means where frequencies are not given.

Here the mean can be found by three methods.

clip_image002

(i) Direct Method:

ADVERTISEMENTS:

Example 1. Find Mean for the following figures.

clip_image004

Solution:

ADVERTISEMENTS:

∑X =30 + 41 + 47 + 54 + 23 + 34 + 37 + 51 + 53 + 47=417; N= 10.

clip_image006

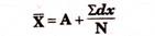
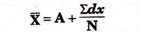
(ii) Short Cut Method:

Here X is calculated using an Assumed Mean ; taking deviations from it, the following formula is used.

clip_image008

Where A is assumed mean

and dx = the deviation of items from assumed mean (X – A),

∑dx/N is known as correction factor.

(Note: – Value of Assumed Mean may be taken of any magnitude; but we often take whole number near to the average of largest and smallest terms to avoid big calculations.)

(iii) Step Deviation Method:

This method is not applicable to all the problems.

Here clip_image010

Where i or c is common factor in dx, such that dx/i or dx/c= d ‘x

clip_image012

Problems solved using all the three Methods:

ADVERTISEMENTS:

Example 4. Calculate X, using:

(i) Direct Method,

(ii) Short Cut Method,

ADVERTISEMENTS:

(iii) Step Deviation Method for the following problem.

The given data is; 30, 16, 20, 26, 18, 24, 36 and 18.

Solution:

Let Assumed Mean (A) = 26 N=8

ADVERTISEMENTS:

clip_image014

clip_image016

clip_image018

(Note: Assumed mean can take any value, but we often opt for the term nearest to the average of highest and lowest terms).