In this article we will discuss about the elasticity of substitution in a firm.

Let us suppose that the firm’s production function is

Q = f(L, K)                                   [(8.122)]

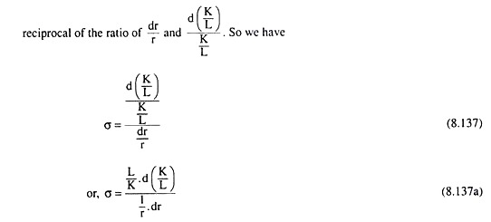
The convexity property of the isoquants (IQs) expresses the principle of diminishing marginal rate of technical substitution (MRTS) of L for K as the substitution of L for K proceeds. The MRTS of L for K (= r, say) is defined as the quantity used of K that the firm may forego if it uses an additional unit of L, to produce the same level of output.

ADVERTISEMENTS:

Principle of diminishing r underlines the fact that as substitution of L for K proceeds, resulting in a fall in the K/L ratio, the substitution becomes more and more difficult. Now, the rate at which this difficulty increases, i.e., r diminishes, in response to substitution of L for K, or, a fall in ratio, represents the elasticity of substitution of L for K.

If the difficulty in substitution increases faster, i.e., r diminishes faster, in response to a fall in K/L ratio, we would say that elasticity of substitution of L for K is smaller. In other words, if the proportionate fall in r is larger in response to a fall in ratio, elasticity of substitution would be smaller, i.e., elasticity of substitution varies inversely as the ratio of the proportionate fall in K/L to the proportionate fall in K/L ratio.

Therefore, the coefficient of elasticity of substitution (σ) may be taken to be the

We may simplify the value of σ as given by (8.137) or (8.137a) in the following way

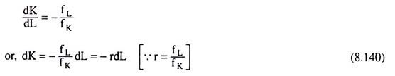
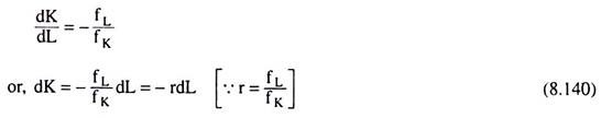
Again, since r is a function of L and K, [r = r (L,K)],we have

Also, the slope the IQ at the point concerned is given by

Therefore, from (8.138) and (8.140), we have

Also, from (8.139) and (8.140), we have

Now, putting the value from (8.141) and (8.142) in (8.137) or (8.137a) we have

(8.143) gives us the simplified and workable form of the expression for σ.

ADVERTISEMENTS:

Another Expression for σ:

Elasticity of Substitution and the Relative Factor Shares:

ADVERTISEMENTS:

If the production function of a firm be Q = f (K, L) then the formula for the elasticity of substitution (σ) is given as

Now, at the point of cost-minimising equilibrium subject to an output constraint, we have

ADVERTISEMENTS:

Where w and r are the point of the inputs. Therefore, at this point of equilibrium, the formula for σ becomes

We may now derive the relation between σ and the relative factor shares. The relative share of labour in output, i.e., the total payment to labour divided by the total value of output is wL/pQ.

Similarly, the relative share of capital is rK/pQ. Therefore, the ratio of the relative shares of labour and capital is wL/rK.

Let us refer to equation (8.139). Here if w/r increases, i.e., if the relative price of labour increases, this will lead to a substitution of capital for labour and, therefore, to a rise in K/L ratio. Now, if the percentage increase in the K/L ratio is smaller than the percentage increase in the w/r ratio, a would be less than one.

On the other hand, if p.c. increase in K/L is less than the p.c. increase in w/r, the relative share of labour, i.e., wL/rK will increase. What we have obtained then is that at σ < 1, wL/rK will increase if there is an increase in w/r.

ADVERTISEMENTS:

Let us look briefly why this is obtained. We have assumed an increase in w/r. This may happen because, the supply of capital might have increased proportionately more than the supply of labour. As the relative price of labour rises, the firms would substitute capital for labour to the extent permitted by the production function.

Now if the production function indicates relatively inelastic substitutability of capital for labour, the firms cannot substitute capital for labour in the same proportion as the wage rate has risen relative to the rent of capital. Thus, the relative share of labour must rise.

With the help of the same sort of reasoning, we would be able to establish that at σ > 1, wL/rK will decrease if there is an increase in y, and at o = 1, will remain unchanged as y rises.

We may conclude then that in a two-factor production function, if the relative price of one of the factors (L) increases, owing to an increase in the relative supply of the other factor (K), then the relative share of the factor (L) would increase, decrease, or remain unchanged if the elasticity of substitution (a) of the factor (L) for the other factor (K) is less than, greater than, or equal to unity.

Mathematical Derivation:

This proposition can be established mathematically in the following way. The relative share of labour is