The following points highlight the three Measurements for Cost of Living. The Measurements are: 1. Consumer Price Index (CPI) 2. Producer Price Index (PPI).

Measurement # 1. Consumer Price Index (CPI):

The consumer price index (CPI) is the most widely used measure of the level of prices.

It is constructed by collecting the prices of thousands of goods and services.

We know that the GDP expresses the quantity of diverse goods and services into a single number which is used as a measure of the value of society’s output.

ADVERTISEMENTS:

In a like manner the CPI expresses the prices of numerous goods and services into a single index for measuring the general price level.

The CPI is a weighted average of all prices. It is the price of a basket of goods and services relative to the price of the same basket in some base year.

Example:

Let us suppose our representative consumer (Mr. X) buys 5 bananas and 2 cakes every month. Then the basket of goods consists of 5 bananas and 2 cakes and, in this case,

In this CPI, 2000 is taken as the base year. This index indicates the cost of buying 5 bananas and 2 cakes today compared to how much it had cost to buy the same basket in 2000.

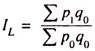
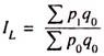
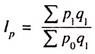
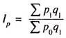
Laspeyres Index Vs. Paasche Index:

A price index with a fixed basket of goods is called a Laspeyres index while a price index with a changing basket is called a Paasche index. The Laspeyres price index is based upon the relative costs of acquiring a base period basket of goods.

Formally, it is defined as:

where p1 and p0 tefer to current prices and the base period prices, respectively, and q0 refers to the base period market basket of goods.

The Paasche price index measures the cost of buying today’s market basket at the base period prices.

The Paasche index is given by:

Thus, in Laspeyres index the weighting is taken from the base year, while in Paasche index from the current year. This means that Laspeyres index tends to emphasise items which might be out of date and to ignore changes in tastes or lifestyle over the years.

Paasche index, on the other hand, runs into difficulty with new items which are significant in the current year but have no value because they did not exist or were not used before.

Since market basket of goods and services remains fixed over time, the CPI tends to overestimate inflation. The main reason is that when the prices of some goods rise sharply, consumers have a tendency to switch their purchases to goods whose prices have not risen as much or not at all. But the CPI ignores the rise completely. This is known as substitution bias. The CPI does not reflect changing consumption.

At the same time, the Laspayers cost of living index overestimates the amount needed to compensate individuals for price increases. This means that using the CPI to adjust retirement pensions will tend to overcompensate the pensioners by underestimating their retirement benefit and will thus require more government expenditure.

Each index has its merit and drawback. So one is not ambiguously superior to the other. When prices of different goods are changing by different amounts, the Laspeyres index tends to overstate the increase in the cost of living because it ignores the fact that consumers have the opportunity to substitute cheaper goods for expensive ones.

ADVERTISEMENTS:

By contrast, the Paasche index tends to understate the increase in the cost of living. While it takes into account the substitution of alternative goods, it fails to reflect the loss of consumers’ welfare’ that may result from such substitutions.

Measurement # 2. Producer Price Index (PPI):

Another price index is producer price index (PPI). It measures the prices of a typical basket of goods bought by firms or producing units. Since the output of one industry is used as an input in a number of other industries, the PPI is also significant.

PPI differs from CPI partly in its coverage which includes, raw materials and semi­-finished goods. It also differs from CPI because it is designed to measure prices at an early stage of the distribution system.

It is also possible to prepare price indices at the micro-level, i.e., for specific types of goods such as food, housing and energy. Different indices are used for different purposes.